• Предмет: Алгебра
  • Автор: indigogo228
  • Вопрос задан 3 года назад

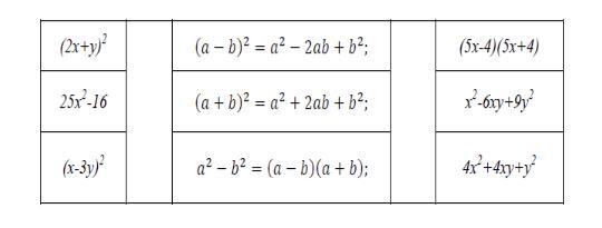
Установите соответствие (с подробным разбором)

Приложения:

Ответы

Ответ дал: vtsharingan
2

Відповідь:

1) (2x+y)^2 = 4x^2+4xy+y^2  (формула 2)

2) 25x^2 - 16 = (5x-4)(5x+4) (формула 3)

3) (х-3у) = x^2-6xy+9y^2 (формула 1)

Это формулы сокращённого умножения.

Вас заинтересует