• Предмет: Математика
  • Автор: diskord451
  • Вопрос задан 3 года назад

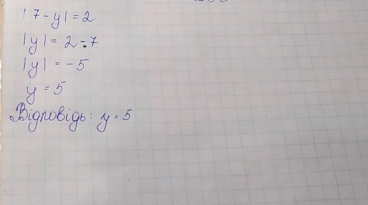
ка решать Пж Пж |7-у|=-2​

Ответы

Ответ дал: sofidiachenko
1

Пошаговое объяснение:

дсжчжчэяжядяочдялЖсдДчэчэчэрс

Приложения:
Вас заинтересует