• Предмет: Алгебра
  • Автор: Mon7TR
  • Вопрос задан 11 лет назад

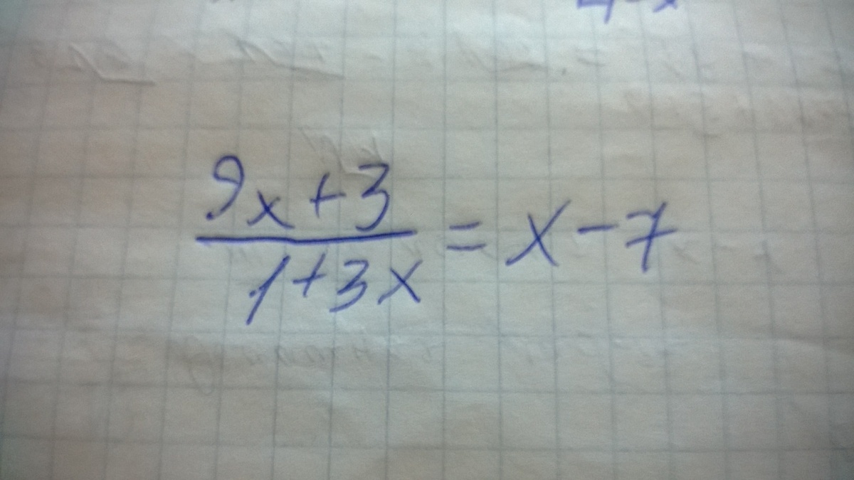
Если можно полное решение 

Приложения:

Ответы

Ответ дал: utybe
0
Ответ на фотографии.
Приложения:
Ответ дал: ДокторH2O
0
или - 4х или -3х скорее всего -3
Приложения:
Вас заинтересует