• Предмет: Алгебра
  • Автор: RonaldoCarter
  • Вопрос задан 3 года назад

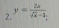
найдите обл опред функции
подробно пожалуйста

Приложения:

plox695: это какой класс

Ответы

Ответ дал: enna0
0

D= х€[0;9) U (9;+∞)

x=0........

Вас заинтересует