• Предмет: Математика
  • Автор: dimas3271
  • Вопрос задан 3 года назад

Срочно решите производные!!!!. Дою 70 баллов

Приложения:

dimas3271: Только под четными номерами

Ответы

Ответ дал: Miroslava227
1

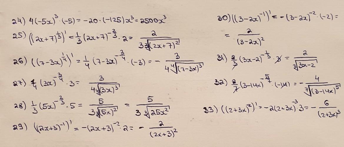
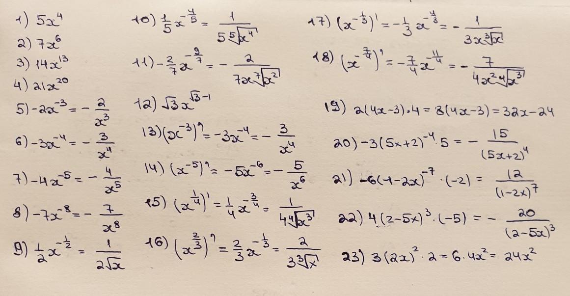
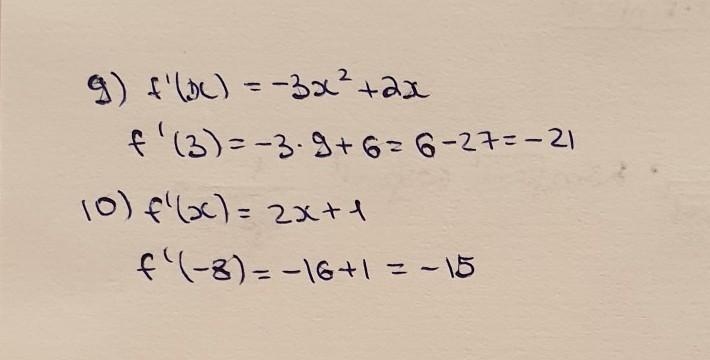
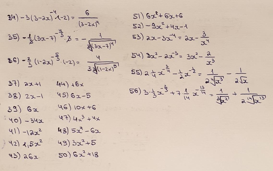
Ответ:

решение на фотографиях

Приложения:
Вас заинтересует