• Предмет: Алгебра
  • Автор: libitch
  • Вопрос задан 3 года назад

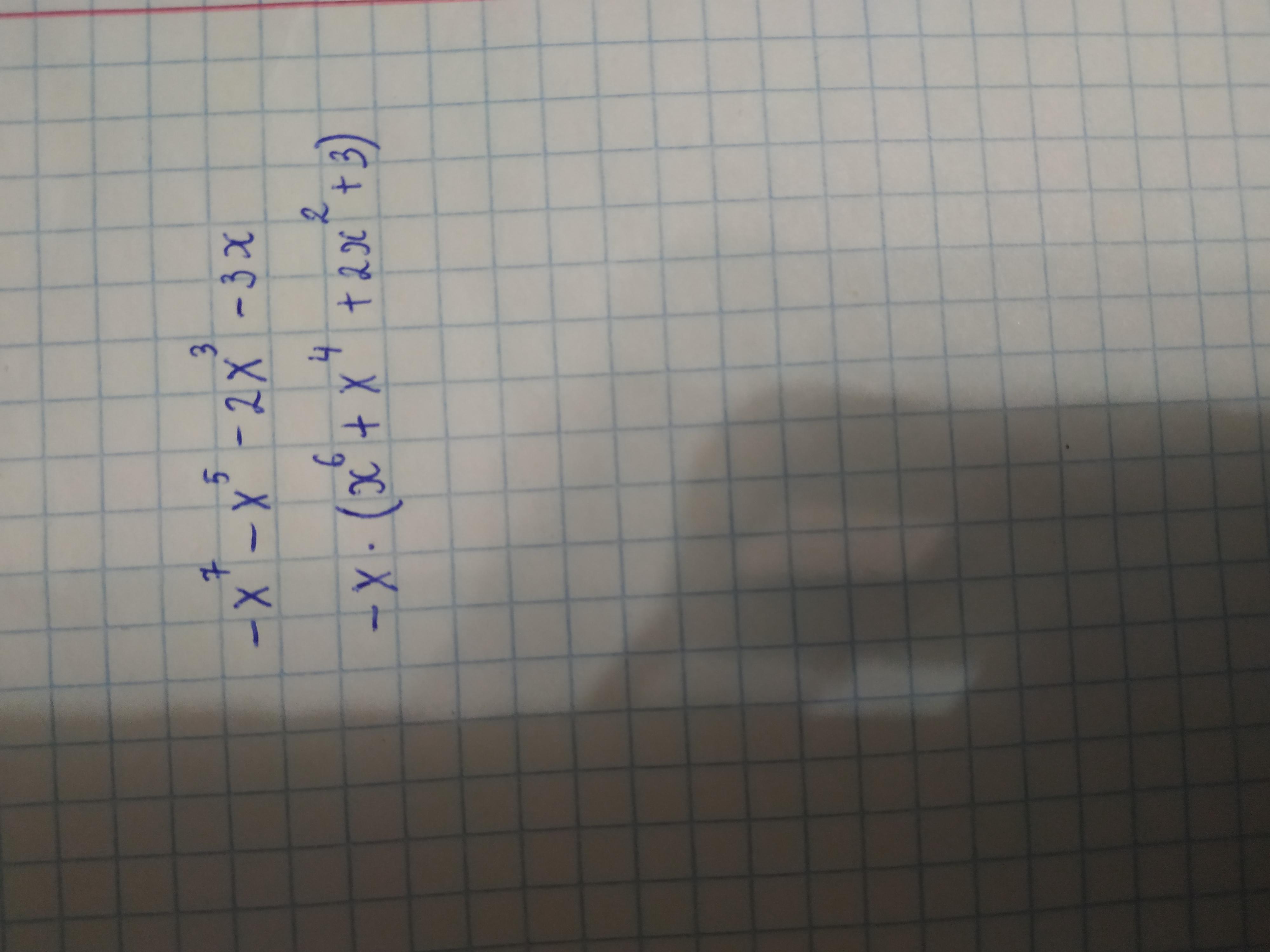
помогите: -x⁷-x⁵-2x³-3x​

Ответы

Ответ дал: Nikitos2438
1

Ответ: на фото, если помог оцените плиз

Приложения:
Вас заинтересует