• Предмет: Математика
  • Автор: nastagvozdeva023
  • Вопрос задан 3 года назад

2/14 +(-6/7) решите пожалуйста ​

Ответы

Ответ дал: tatsach
0

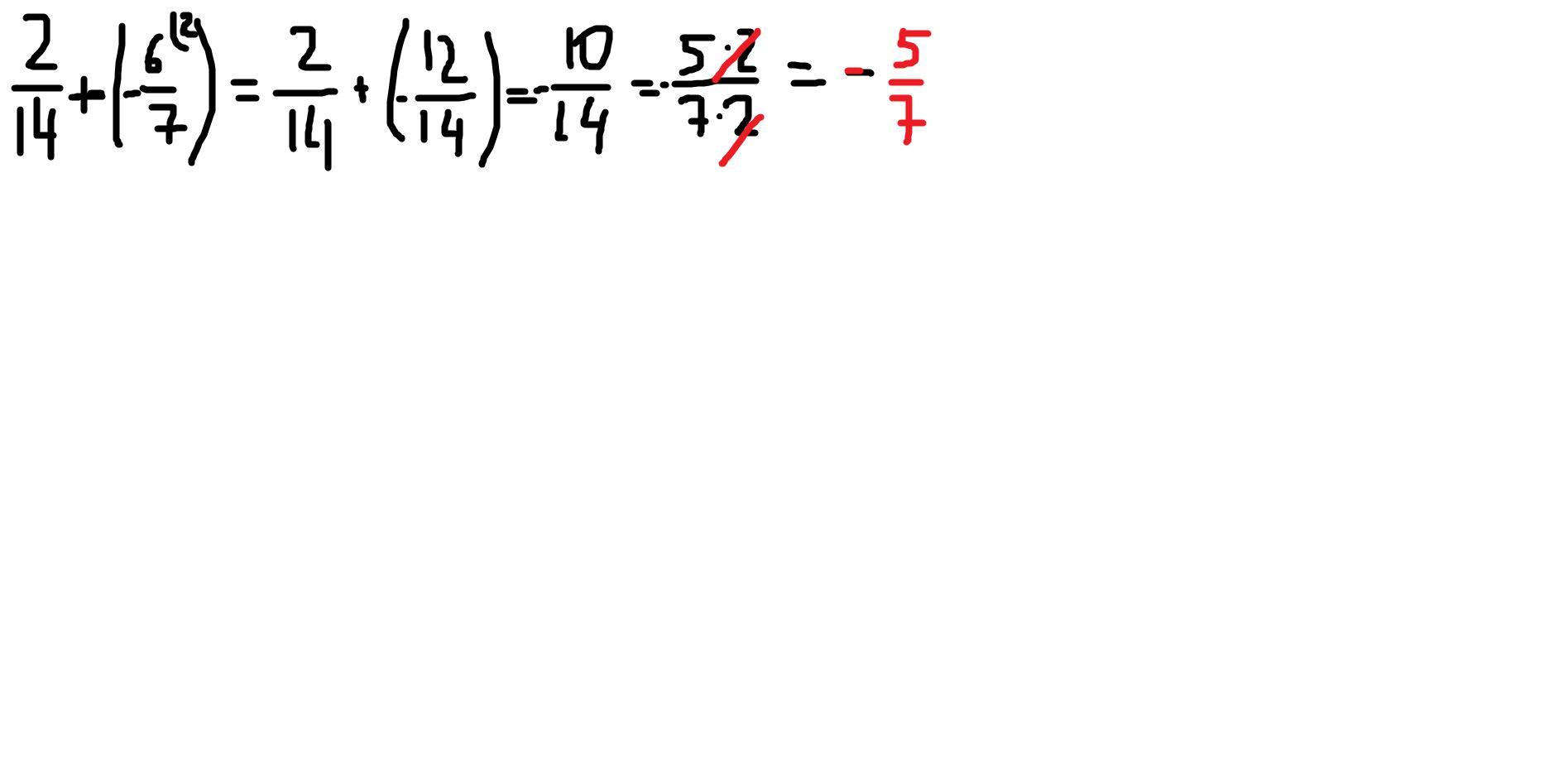
Ответ:

Пошаговое объяснение:

2/14 +(-6/7)=2/14-12/14=-10/14=

-5/7

Ответ дал: Аноним
0

Ответ: - 5/7

Пошаговое объяснение: ↓↓

Приложения:
Вас заинтересует