как находить нок, можете кинуть правила чтобы было всё понятно, а то ничего не понимаю
Ответы
Разложить числа на простые множители (это ты уже отлично умеешь делать).
Выписать множители входящие в разложение одного из чисел (лучше брать самую длинную цепочку).
Добавить к ним недостающие множители из разложений остальных чисел.
Найти произведение получившихся множителей.
Если не трудно отметь лучшим ответом=)
Ответ:
Пошаговое объяснение:
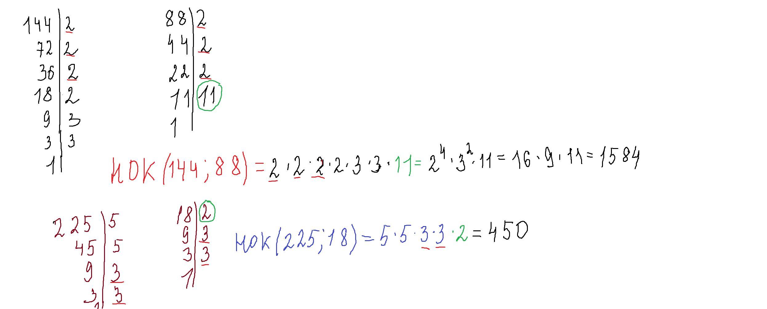
начнем с самого простого примерчика
12=2*2*3
15=3*5
это небольшие числа и их можно разложить на множители даже в строчку.Чтобы найти НОК(12;15) надо выписать разложение на множители одного числа,а потом добавить сюда же из разложения 2 числа те множители,которые еще не записаны.
НОК(12;15)=2*2*3[(это разложение числа 12) теперь из разложения числа 15 допишем сюда же число 5(потому что 3 уже там есть)]*5=
=2*2*3*5=60 это и есть НОК(12;15)
внизу распишу пример чуть посложнее
если еще не понятно-напиши что именно непонятно.
