Ответы
Ответ дал:
1
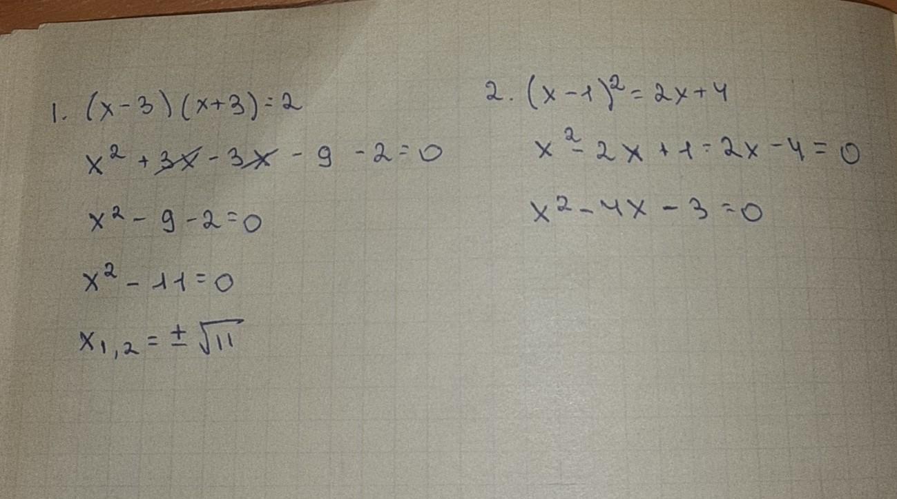
1. (x-3)(x+3)=2
x^2-9-2=0
x^2-11=0
a= 1
b=0
c= -11
2. (x-1)^2=2x+4
x^2-2x+1=2x+4
x^2-2x+1-2x-4=0
x^2-4x-3=0
a= 1
b= -4
c= -3
x^2-9-2=0
x^2-11=0
a= 1
b=0
c= -11
2. (x-1)^2=2x+4
x^2-2x+1=2x+4
x^2-2x+1-2x-4=0
x^2-4x-3=0
a= 1
b= -4
c= -3
Ответ дал:
1
шкшкшкшкщщкщкщкщщкщкщщк
Приложения:

Вас заинтересует
2 года назад
2 года назад
2 года назад
2 года назад
8 лет назад