При каком натуральном значении n выполняется равенство:
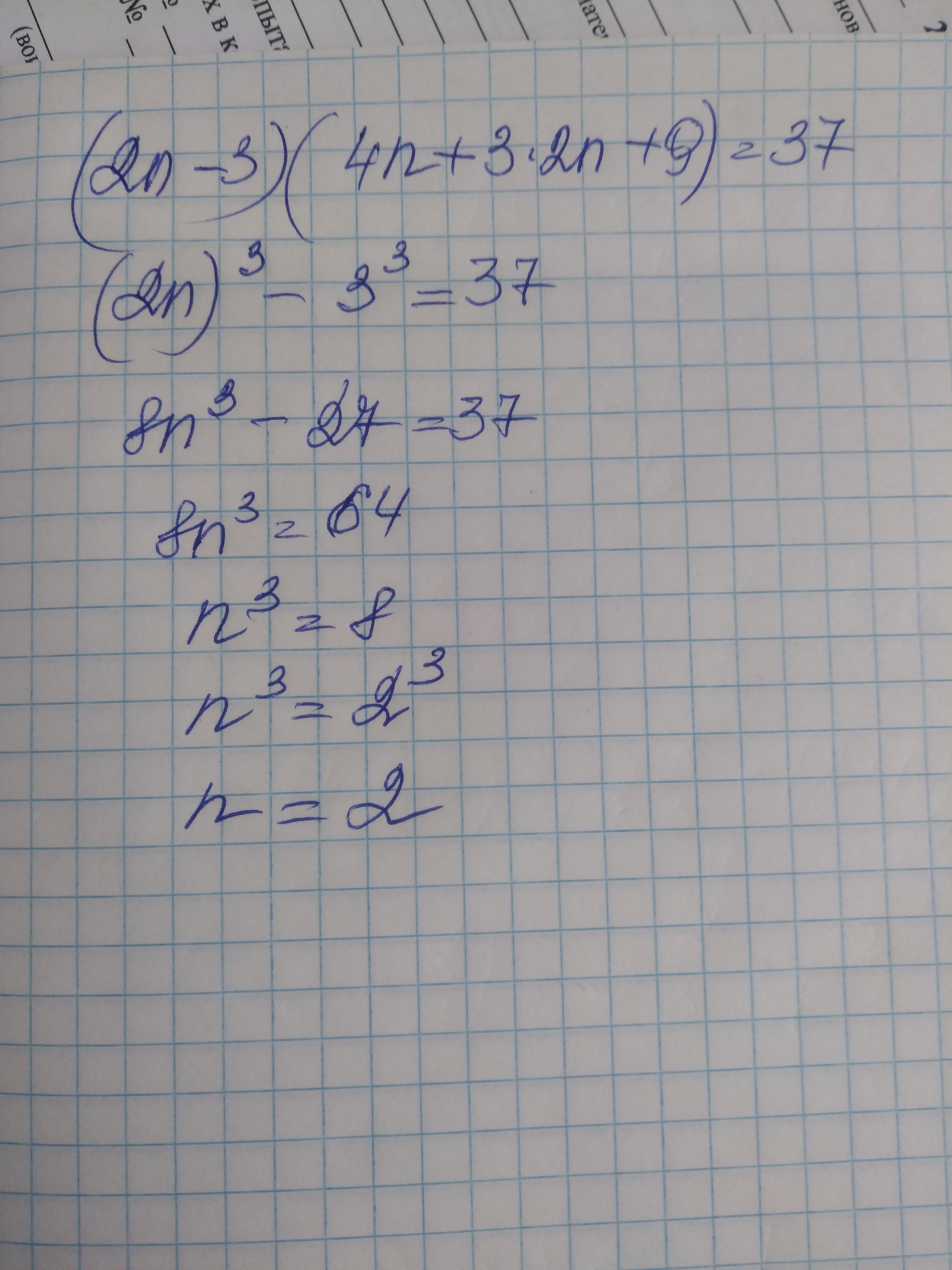
(2n – 3)(4n + 3 ∙ 2n + 9) = 37.
Ответ: n =
СРОЧНО ❗❗❗❗❗
Ответы
Ответ дал:
16
смотри.................
...
Приложения:

Вас заинтересует
2 года назад
2 года назад
2 года назад
2 года назад
7 лет назад
7 лет назад
9 лет назад
9 лет назад
(2n – 3)(4n + 3 ∙ 2n + 9) = 37
Ответ: n =2