• Предмет: Математика
  • Автор: glebokkamyshkin
  • Вопрос задан 3 года назад

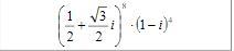
Найдите значение выражения

Приложения:

Ответы

Ответ дал: dimafoks1996
1

Ответ:

ладно

Пошаговое объяснение:

ладно

Вас заинтересует