Ответы
Ответ дал:
0
Ответ:
Объяснение:
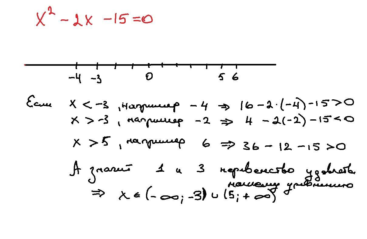
Подкоренное выражение должно быть больше и равно нулю, но так как оно стоит в знаменателе, то оно не может равняться нулю.
Значит
Рассмотрим какие промежутки удовлетворяют нашему уравнению
x∈(-∞;-3)∪(5;+∞)
Приложения:

Вас заинтересует
2 года назад
2 года назад
2 года назад
8 лет назад
8 лет назад