• Предмет: Математика
  • Автор: sunny4750
  • Вопрос задан 3 года назад

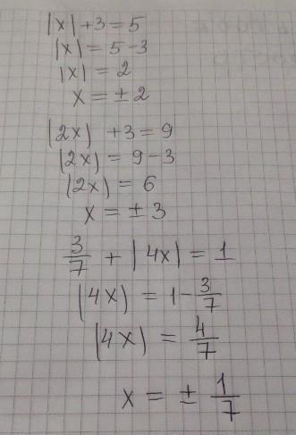
824. 1, 3, 5 пожалуйста пожалуйста​

Приложения:

Ответы

Ответ дал: sabinaashir57
3

Ответ:

1) ,3) ,5), ответ

ответ ответ ответ

Приложения:
Вас заинтересует