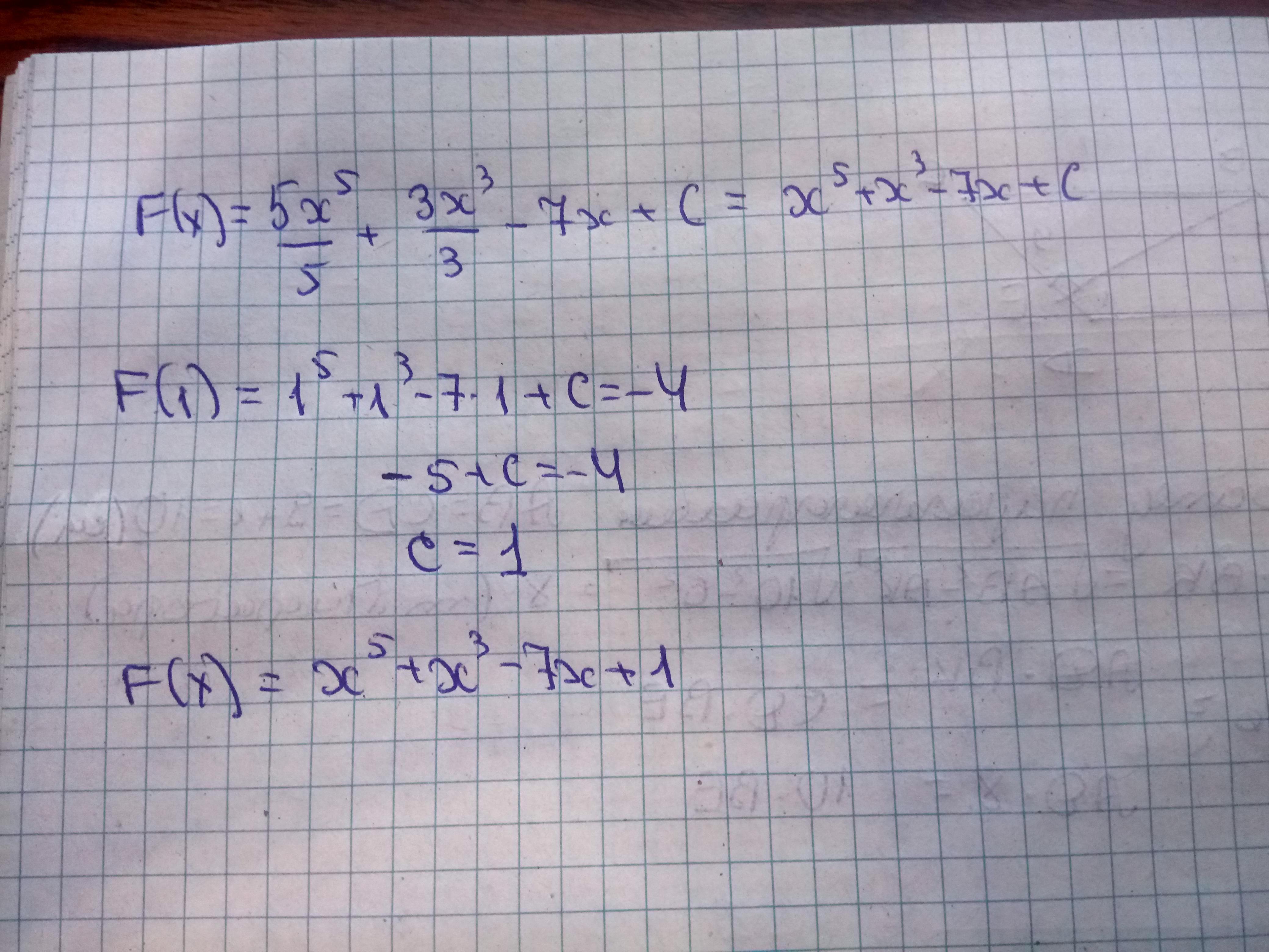
Знайти для функції у=5x^4+3x^2-7, графік якої проходить через точку A(1;-4)
будь ласка допоможіть
Аноним:
Умова не точна. Звiдки? Пiдручник?
Ответы
Ответ дал:
1
Розв'язання завдання додаю
Приложения:

Вас заинтересует
2 года назад
2 года назад
2 года назад
8 лет назад
8 лет назад
9 лет назад