• Предмет: Математика
  • Автор: victorgoncharov0
  • Вопрос задан 3 года назад

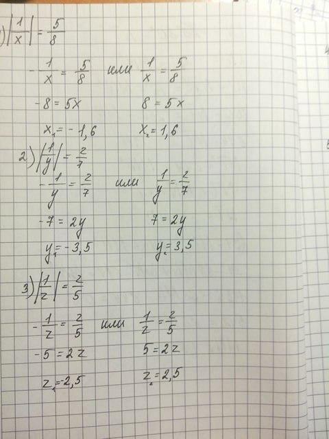
Решите уравнение 831. 1) |1/x=5/8 2) |1/y|=2/7

Приложения:

wwwdima08: Мне нужен был полный ответ а не 1 и 2

Ответы

Ответ дал: romasengals3557
60

Ответ:

Пошаговое объяснение:

Приложения:

azvitman: спасибо большое ой огромное
Аноним: ну какая мразь?
Аноним: я такой скандал ученю!!!
nunubaimaganbetova: Это не я unu
altingazievaaaa: спасибо болшое,ты мне очень помогла
malinoaigor: спасибо
arsenmahaev0: привет спасибо
akmeir260416: спосибо большое, ты мне очень помогла
1003198na: ^_^спасибо
altairzantemirov: Блин
Вас заинтересует