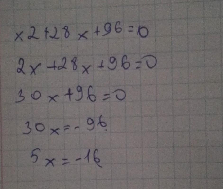
Найди разность (из большего корня вычти меньший корень уравнения), сумму и произведение корней квадратного уравнения x2+28x+96=0,Даю 45 баллов
Ответы
Ответ дал:
1
Надеюсь это правилный ответ
Приложения:

Вас заинтересует
2 года назад
2 года назад
8 лет назад
9 лет назад