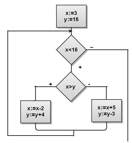
Определите сумму значений целочисленных переменных х и y после выполнения следующего фрагмента алгоритма, записанного в виде блок-схемы:
Приложения:

Ответы
Ответ дал:
1
Ответ:
x=x-2=3-2=1
y=y+4=16+4=20
x=x+5=1+5=6
y=y-3=20-3=17
x+y=6+17=33
Объяснение:
Вас заинтересует
2 года назад
2 года назад
2 года назад
8 лет назад
9 лет назад