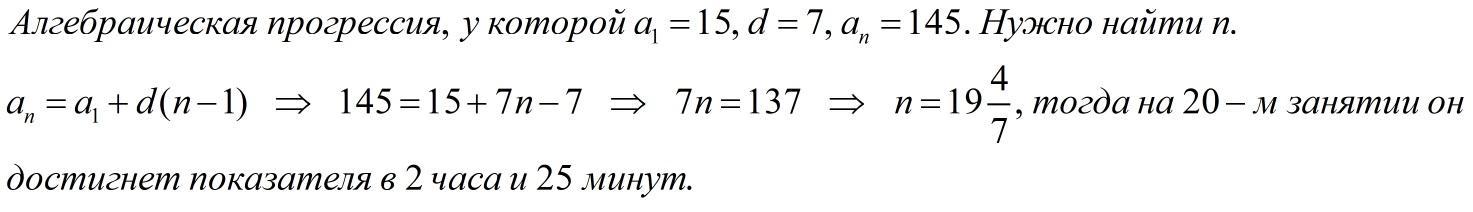
Тренер посоветовал Андрею в первый день занятий провести на беговой дорожке 15 минут, а на каждом следующем занятии увеличивать время, проведённое на беговой дорожке, на 7 минут. За сколько занятий Андрей проведёт на беговой дорожке в общей сложности 2 часа 25 минут, если будет следовать советам тренера?
Ответы
Ответ дал:
1
Ответ:
20
Объяснение:
На фото решено
Приложения:

Ответ дал:
0
Ответ:20 там
Объяснение:
Вас заинтересует
2 года назад
2 года назад
7 лет назад
9 лет назад
9 лет назад