• Предмет: Алгебра
  • Автор: helppppp76
  • Вопрос задан 3 года назад

СРОЧНО, 35 БАЛЛОВ.
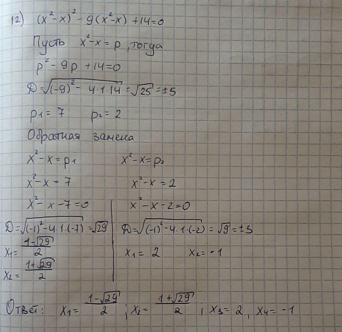
Решите уравнение, используя способ замены переменной и решите неравенство.

Приложения:

Ответы

Ответ дал: MrNarKotik
0

Ответ: фото

Объяснение:

Фото

Приложения:
Ответ дал: sobakazabiyaka
0

Ответ прикрепил на фото ниже

Приложения:
Вас заинтересует