• Предмет: Алгебра
  • Автор: Аноним
  • Вопрос задан 3 года назад

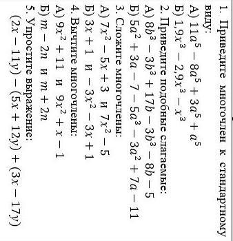
помогите скорее у нас проверочная​

Приложения:

Ответы

Ответ дал: ekaterinaperfile
0

Ответ:

это же легко

Объяснение:

УЧИ МАТЕМАТИКУ


Аноним: ну спусибо что объяснил, вот только я туп и ленив
Аноним: если ты настолько умён то обоснуй как
Вас заинтересует