• Предмет: Математика
  • Автор: ynazarka
  • Вопрос задан 3 года назад

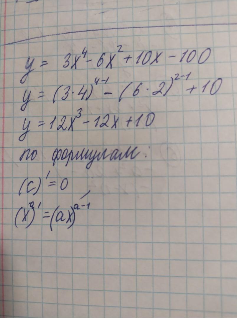
y=3x^4-6x^2+10x-100 производная

Ответы

Ответ дал: Lecaa
1

ОТВЕТ:Y=12X^3-12X+10

Производная числа - ноль

производная любого числа с Х - число

Приложения:
Вас заинтересует