• Предмет: Алгебра
  • Автор: honeynight27
  • Вопрос задан 3 года назад

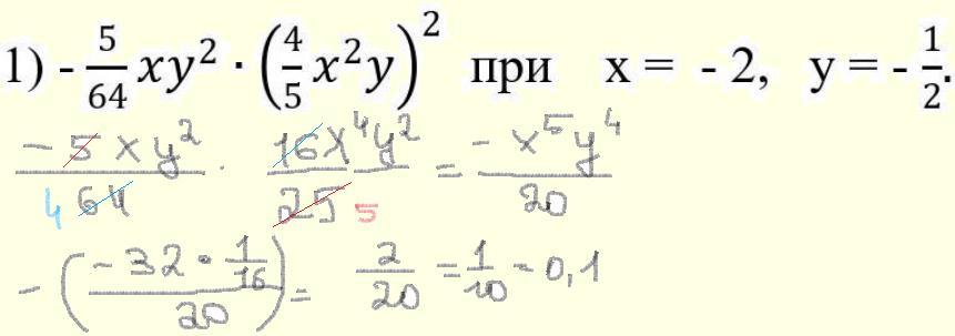
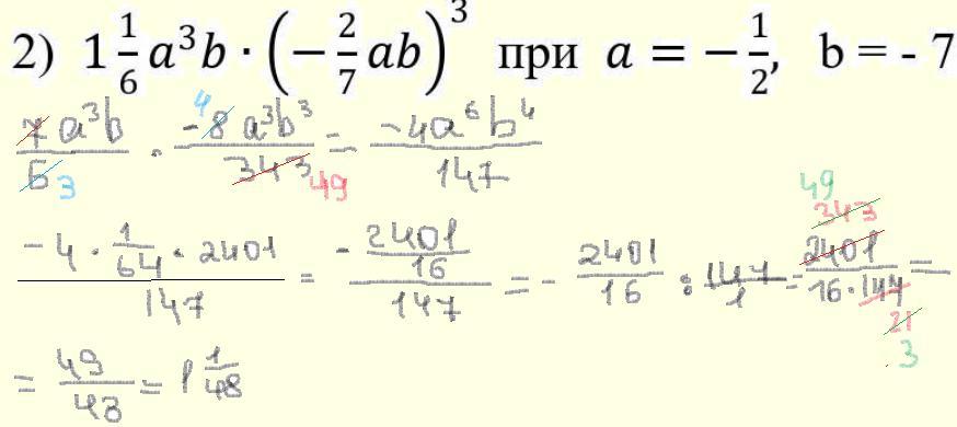
найти числовое значение выражения . помогите , срочнооо!​

Приложения:

Ответы

Ответ дал: lakOR555
0

Ответ:

1) 0,1

2) 1 целая 1/48

Объяснение:

см фото

Приложения:
Вас заинтересует