Ответы
Ответ дал:
1
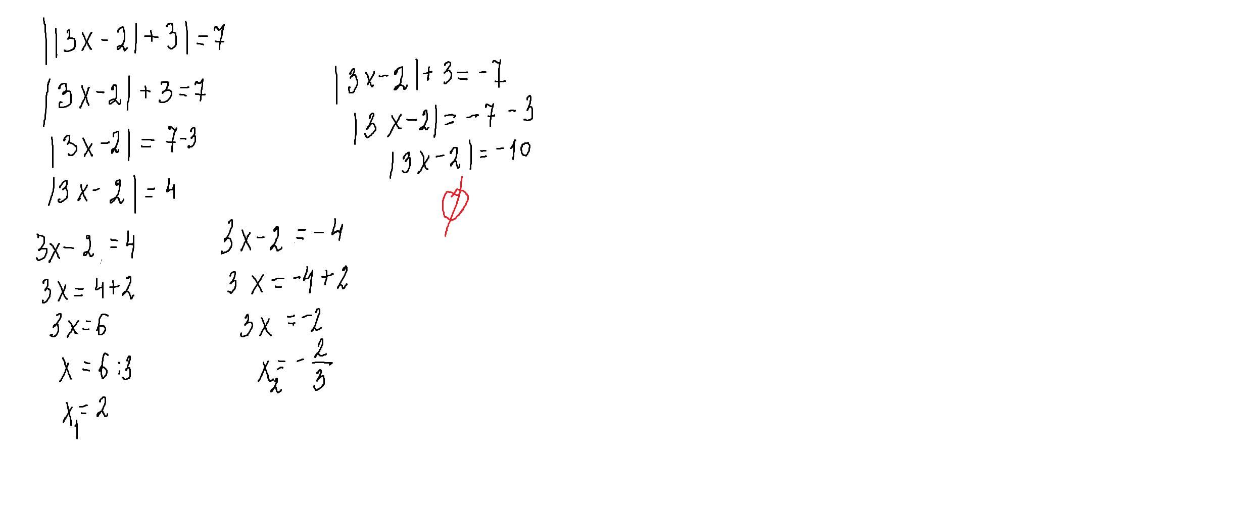
Ответ:
х1=2 х2=-2\3
Пошаговое объяснение:
решение внизу
Приложения:

Вас заинтересует
2 года назад
2 года назад
2 года назад
8 лет назад
8 лет назад
9 лет назад