Ответы
Ответ дал:
0
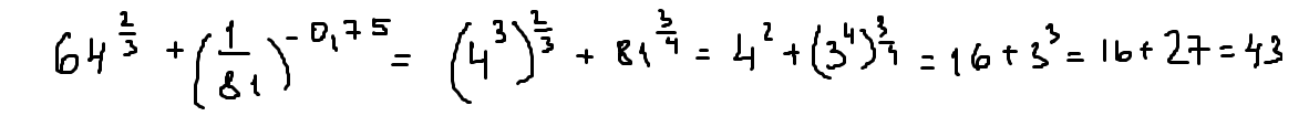
когда избавляемся от минуса в степени, то дробь переворачиваем. И еще -0,75=-3/4
Приложения:

Вас заинтересует
2 года назад
8 лет назад
8 лет назад
10 лет назад
10 лет назад