• Предмет: Алгебра
  • Автор: Vethepeople
  • Вопрос задан 3 года назад

Полные квадратные уравнения ​

Приложения:

Ответы

Ответ дал: viktoriatrenkina185
1

Ответ:

Объяснение: привееееетттт)))))))

Приложения:
Ответ дал: dnevnikmuslima
1

Объяснение:

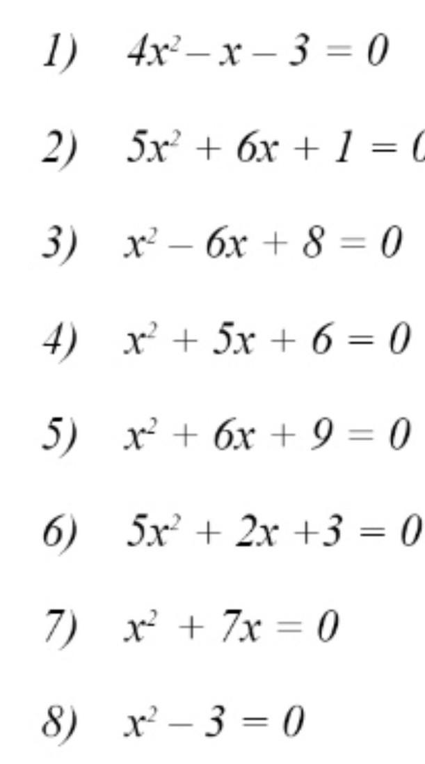
1) 4x²- x -3=0

D= 1-4•4•(-3)=1+48= 49

x1= 1+7/8=1

x2= 1-7/8= -3/4

2) 5x²+6x+1=0

D= 36-20=16

x1= -6+4/10= - 1/5

x2= -6-4/10= -1

3) x²-6x+8=0

D=36-32= 4

x1= 6+2/2=4

x2=6-2/2=2

4) x²+5x+6=0

D= 25-24=1

x1= -5-1/2= -3

x2= -5+1/2= -2

5) x² + 6x +9=0

D= 36 - 36= 0

x1, 2= 3

6) 5x²+2x+3=0

D= 4-60= -56

7) x²+7x=0

x(x+7)

x=0 x+7=0

x=-7

8) x²-3=0

x²=3

x=±√3

Вас заинтересует