• Предмет: Математика
  • Автор: dianakhan1410
  • Вопрос задан 3 года назад






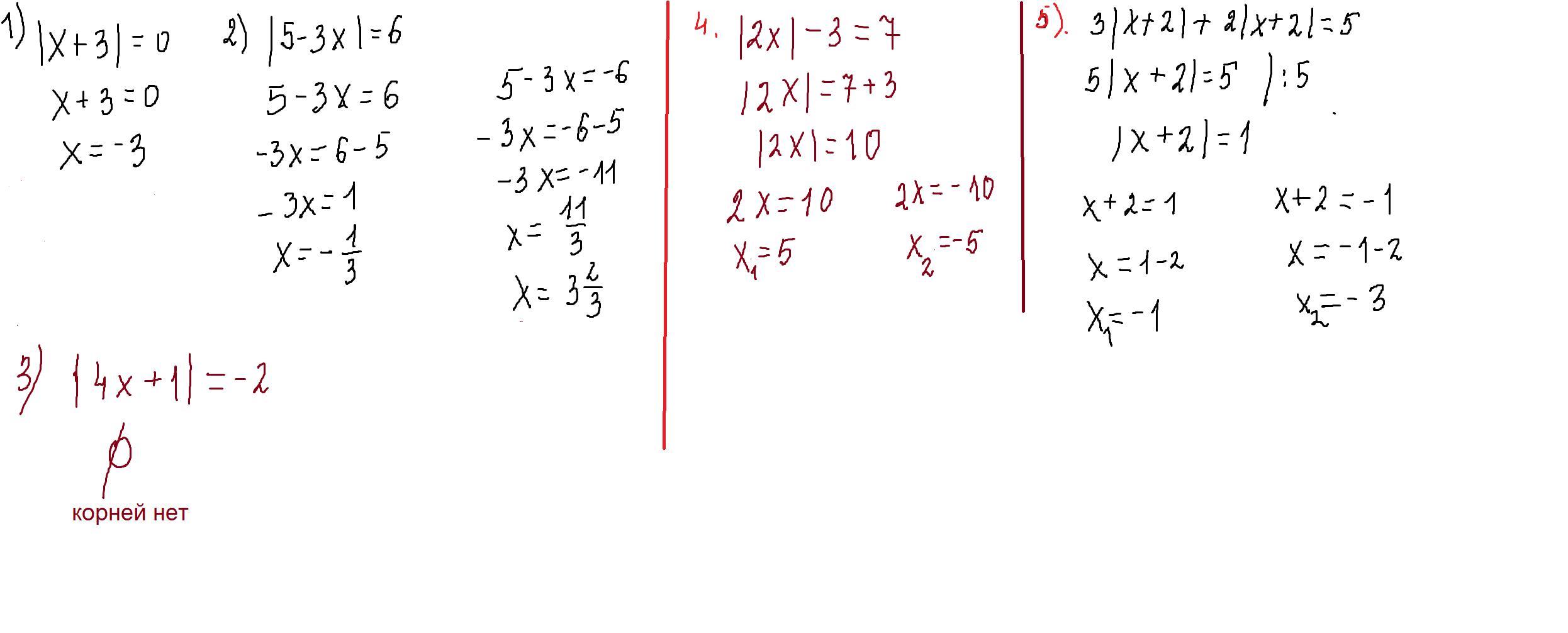
1). |х+3|=0; (1балл)

2). |5-3х|=6; (2 балла)

3). |4х+1|=-2. (1 балл)

4). |2х|-3=7; (2 балла)

5). 3|х+2|+2|х+2|=5; (4 балла

Помогите пожалуйста!!
нужно все четко расписать

Приложения:

Ответы

Ответ дал: parus77
0

Ответ:

Пошаговое объяснение:

решение внизу

Приложения:
Вас заинтересует