• Предмет: Математика
  • Автор: nilufarabduraxmanova
  • Вопрос задан 3 года назад

Помогите пожалуйста разобраться. Заранее благодарю.

Приложения:

Ответы

Ответ дал: Talina16
0

Ответ:

Пошаговое объяснение:

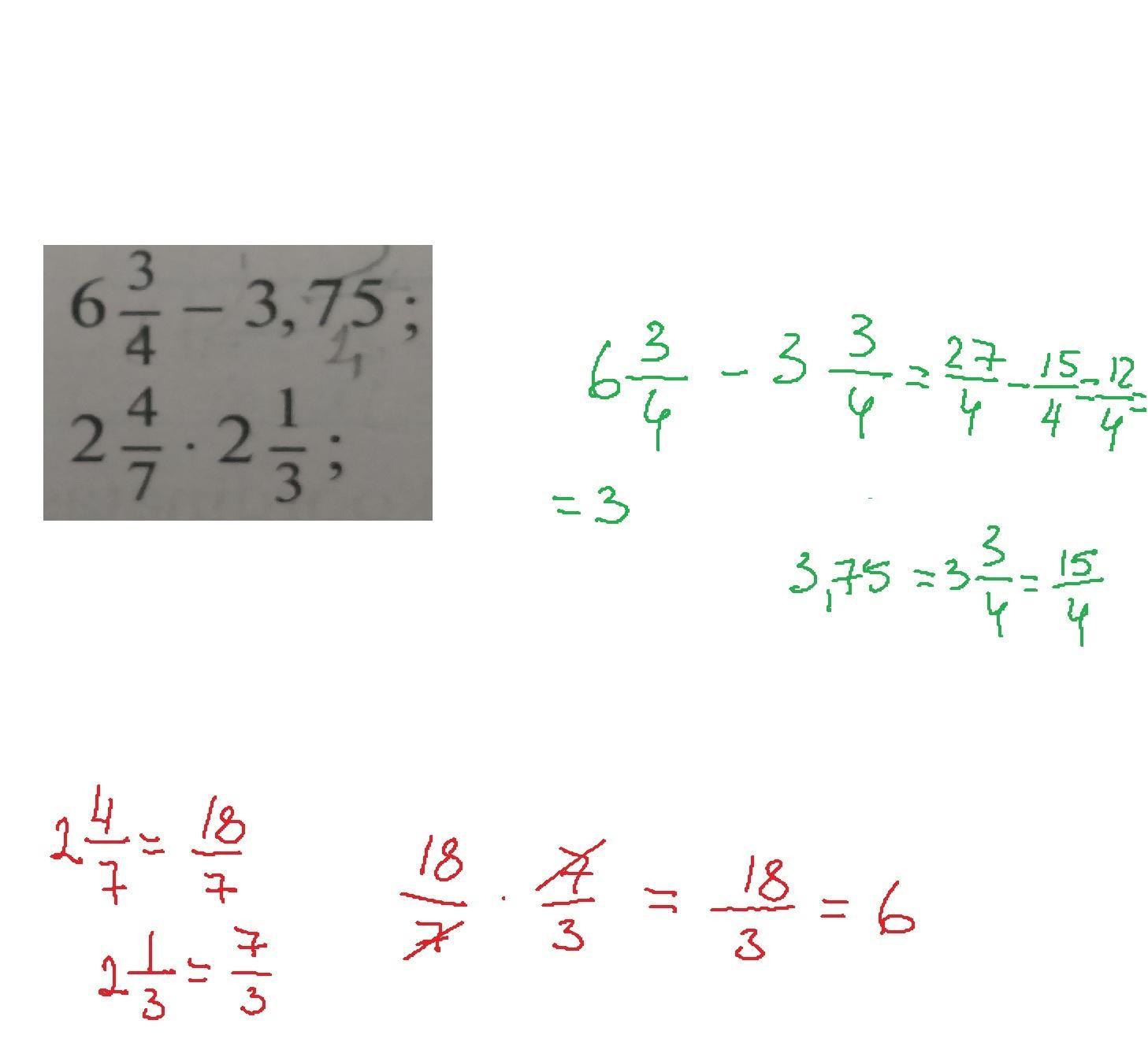
1)3.75 - это 3 целых и 3/4, тоесть 6\frac{3}{4} - 3\frac{3}{4} = 3

2) переводим в неправиольные дроби( тоесть умножаем 2 на 7 и добавляем 4, семь оставляем. Также меняем вторую дробь.

получается \frac{18}{7} * \frac{7}{3} = 6( мы сократили 7, и три с 18)


Talina16: отметьте, как лучший))
Ответ дал: ds15092020
1

Ответ:

3;6

Пошаговое объяснение:

Приложения:
Вас заинтересует