Ответы
Ответ дал:
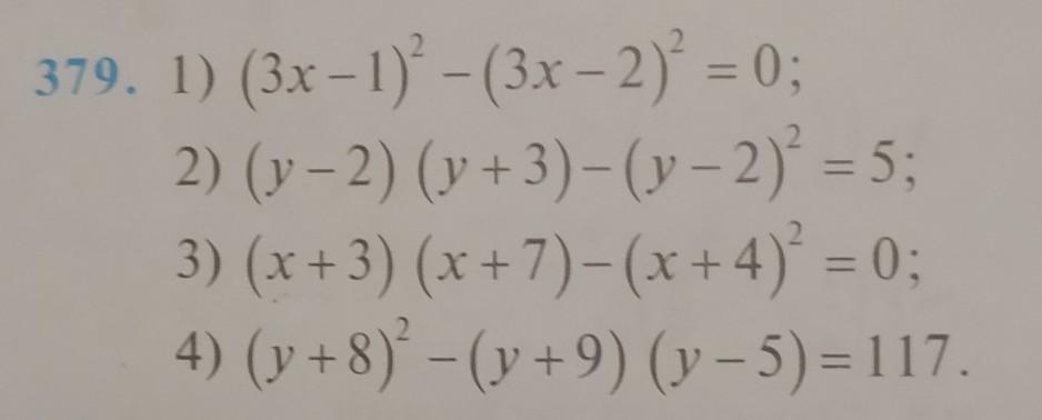
1
здесь все четко расписано
Приложения:




rashidovamirb:
Photomath сила
Вас заинтересует
2 года назад
9 лет назад