• Предмет: Алгебра
  • Автор: Vethepeople
  • Вопрос задан 3 года назад

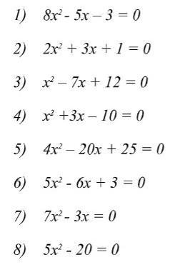
Полные Квадратные Уравнения​

Приложения:

Ответы

Ответ дал: Аноним
2

Ответ:

Всё просто.

Объяснение:

1. 4x²-x-3=0

D=(-1)^2-4•4•(-3)=1+48=√49=7

x1= 1+7/2*4=8/8=1

x2= 1-7/8= -3/4

2. 5x²+6x+1=0

D= 36-20=16

x1= -6+4/10= - 1/5  

x2= -6-4/10= -1

3) x²-6x+8=0

D=36-32= 4

x1= 6+2/2=4

x2=6-2/2=2

4) x²+5x+6=0

D= 25-24=1

x1= -5-1/2= -3

x2= -5+1/2= -2

5) x² + 6x +9=0

D= 36 - 36= 0

x1, 2= 3

6) 5x²+2x+3=0

D= 4-60= -5

7) x²+7x=0

x(x+7)

x=0 x+7=0

x=-7

8) x²-3=0

x²=3

x=±√3


Аноним: я честно не хотел плагиатить просто хотел свериться с решением другого, как получилось так получилось как видишь
Вас заинтересует