• Предмет: Математика
  • Автор: oksana4936
  • Вопрос задан 3 года назад

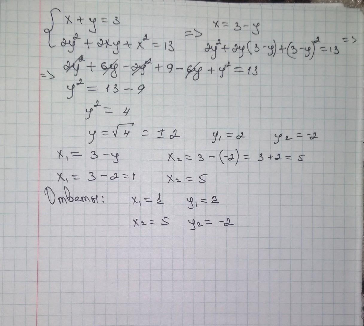
решите пожалуйста систему уравнений. х+у=3. 2у^2+2ху+х^2=13 . срочно нужно пожалуйста.​

Ответы

Ответ дал: SobirovDM
0

Ответы:

X1 = 1.

X2 = 5.

Y1 = 2.

Y2 = -2

Приложения:
Вас заинтересует