• Предмет: Математика
  • Автор: oksana4936
  • Вопрос задан 3 года назад

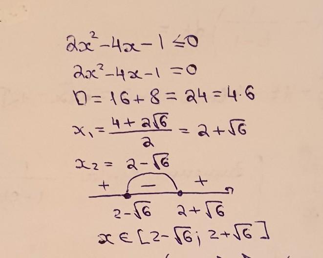
решите неравенства пожалуйста очень надо.
2 {x}^2 - 4x \leqslant 1

Ответы

Ответ дал: Miroslava227
0

Ответ:

решение на фотографии.

Приложения:
Вас заинтересует