• Предмет: Математика
  • Автор: Аноним
  • Вопрос задан 3 года назад

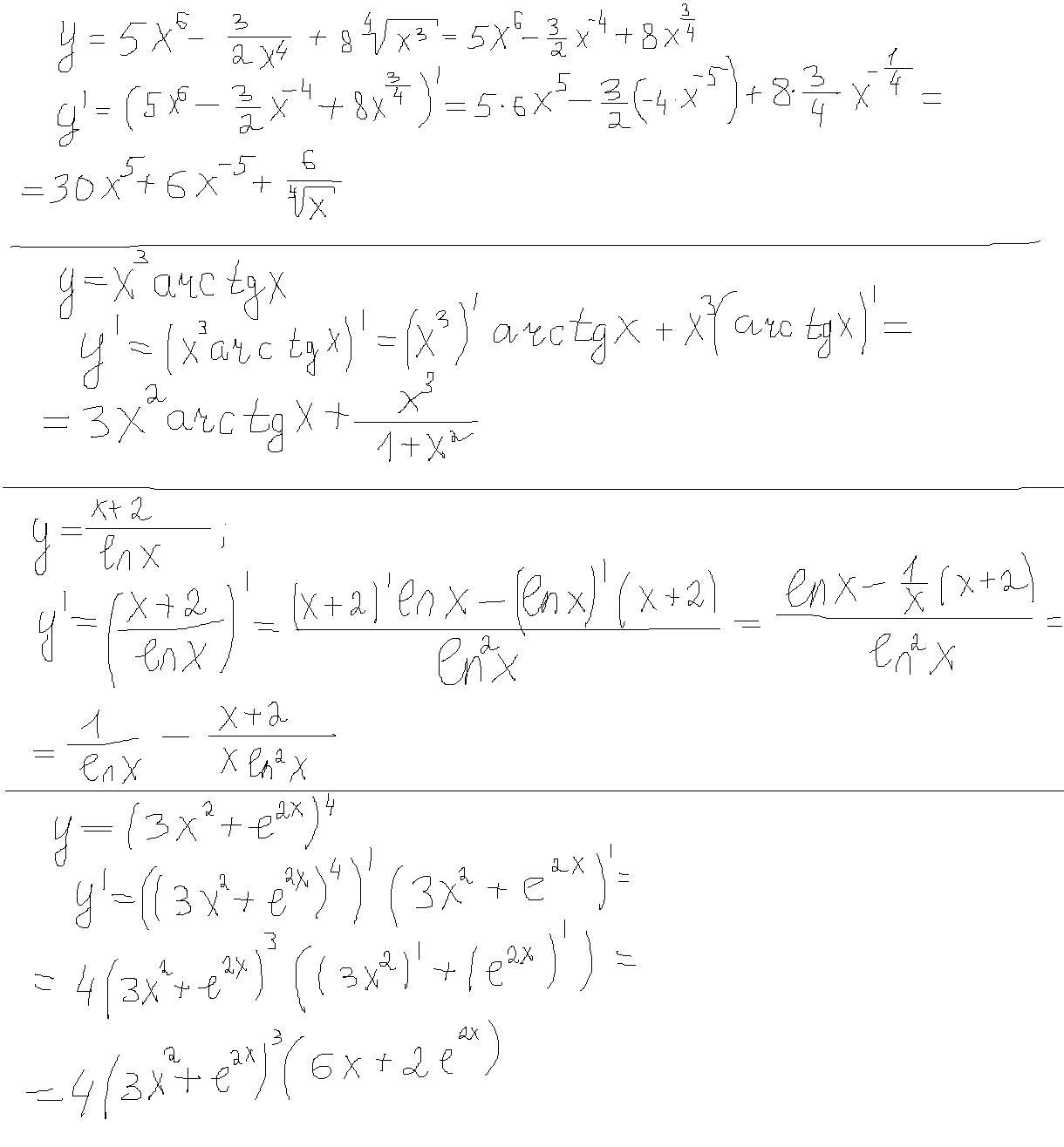
Найдите производные данных функций
Очень надо

Приложения:

Ответы

Ответ дал: ssroman72
1

Ответ:

решение на картинке

Пошаговое объяснение:

Приложения:
Вас заинтересует