помогиииииитеееее
даны точки А (0; -2; 1) С(-1; 0; 1). найдите координаты точки В если точка С середина отрезка АВ
Аноним:
где отличникиииии ученыееее?
Ответы
Ответ дал:
0
Ответ: x=-2,y=2,z=1
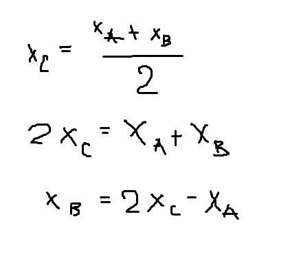
Пошаговое объяснение: середина отрезка определяется сложением двух координат концов отрезка и делением их на два (картинка)
вот в нее подставляй и считай, получится (-2,2,1)
Приложения:

Вас заинтересует
2 года назад
2 года назад
7 лет назад
7 лет назад