• Предмет: Алгебра
  • Автор: juliaonesko
  • Вопрос задан 3 года назад

Решите уравнения.
Тема :Дробно-рациональные уравнения
Очень срочно нужно! Помогите пожалуйста !!

Приложения:

Ответы

Ответ дал: zombiede98
2

Ответ:

1)x1=4;х2=-1

2)х1=1;х2=-9

Объяснение:

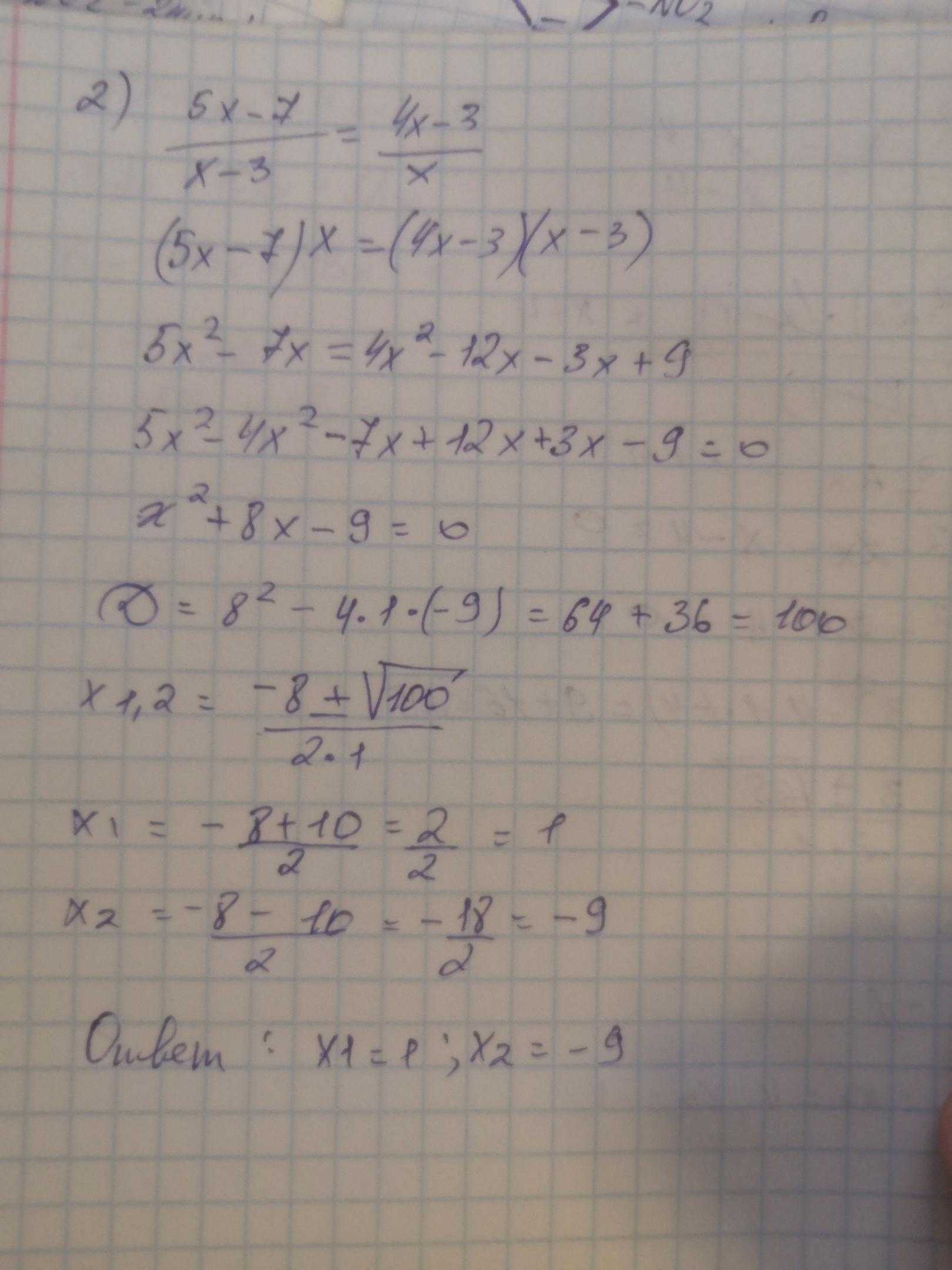
Объяснение на фотографиях.

Приложения:
Вас заинтересует