Ответы
Ответ дал:
0
Ответ:
n принадлежит Z.
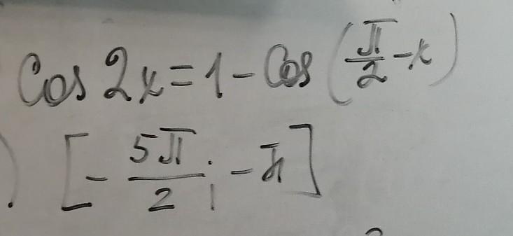
на промежутке:
[-5П/2;-П]
-2П; -11П/6; -7П/6; -П
Ответ:
Приложения:

Вас заинтересует
2 года назад
2 года назад
2 года назад
8 лет назад
8 лет назад
9 лет назад
9 лет назад