Алгебра.
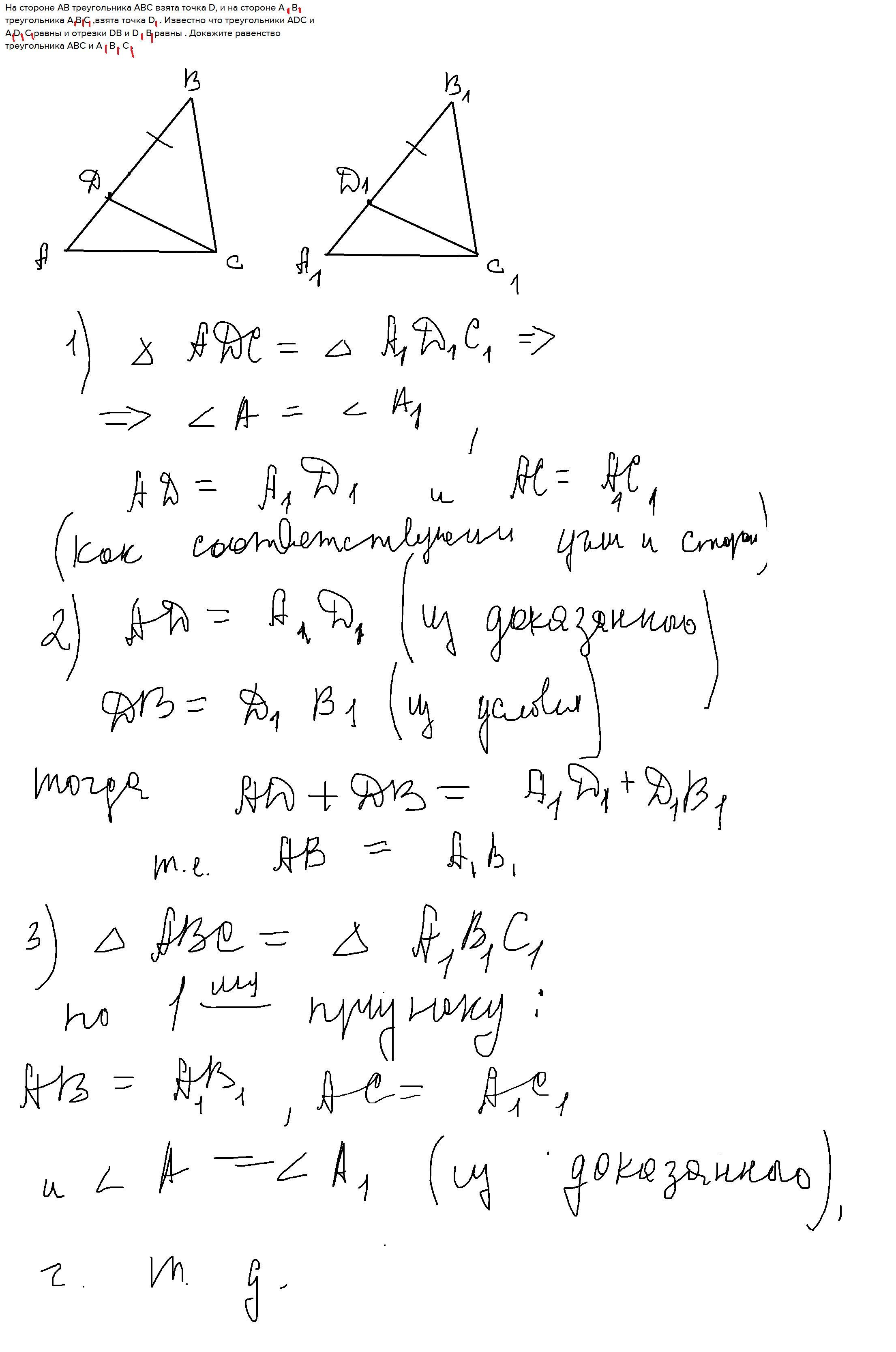
На стороне АВ треугольника АВС взята точка D, и на стороне А , В треугольника А,В,С ,взята точка D, . Известно что треугольники АDС и А,D, С равны и отрезки DВ и D , В равны . Докажите равенство треугольника АВС и А , В , С .
orjabinina:
условие неверно
Ответы
Ответ дал:
1
Ответ:
Объяснение:Алгебра.
На стороне АВ треугольника АВС взята точка D, и на стороне А , В треугольника А,В,С ,взята точка D
Приложения:

Вас заинтересует
2 года назад
2 года назад
2 года назад
7 лет назад
9 лет назад