• Предмет: Алгебра
  • Автор: andrewrumanctsew
  • Вопрос задан 3 года назад

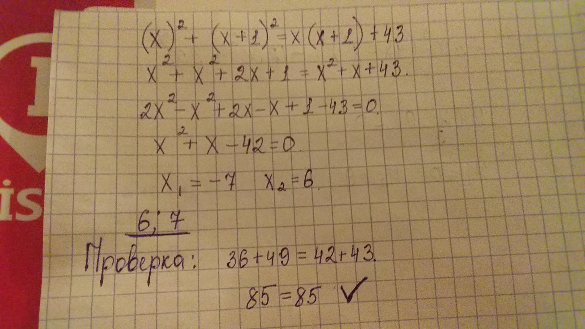
Сумма квадратов двух последовательных натуральных чисел больше произведения этих чисел на 43. Найдите эти числа.


Simba2017: уравнение хотите?
andrewrumanctsew: да
andrewrumanctsew: пожалуйста
Simba2017: x^2+(x+1)^2=43+x(x+1)
andrewrumanctsew: x^2 это икс во второй степени?
Simba2017: да
andrewrumanctsew: спасибо

Ответы

Ответ дал: periqaqi
6

Ответ: 6 и 7

Объяснение: допустим один из чисел х, а другой х+1

Приложения:

Аноним: это правильно!
Вас заинтересует