• Предмет: Алгебра
  • Автор: dfdsghjhd
  • Вопрос задан 3 года назад

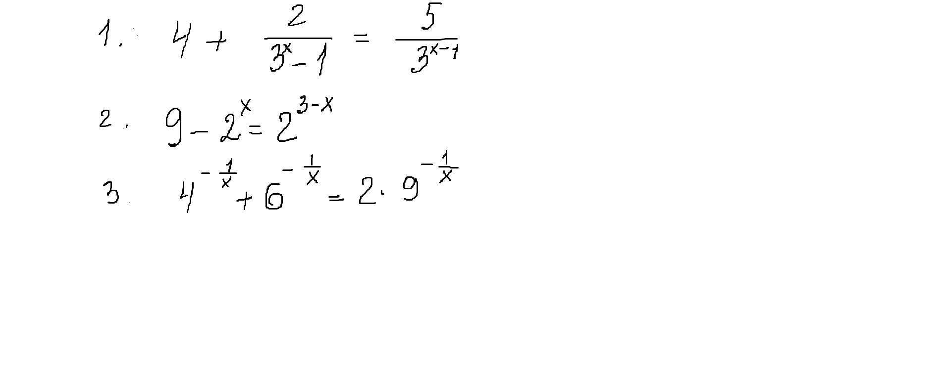
Алгебра 10 класс помогите отдам все баллы решение приложите на фото

Приложения:

Ответы

Ответ дал: nekrasovka2002
0

Ответ:

Объяснение:

На фото

Приложения:
Вас заинтересует