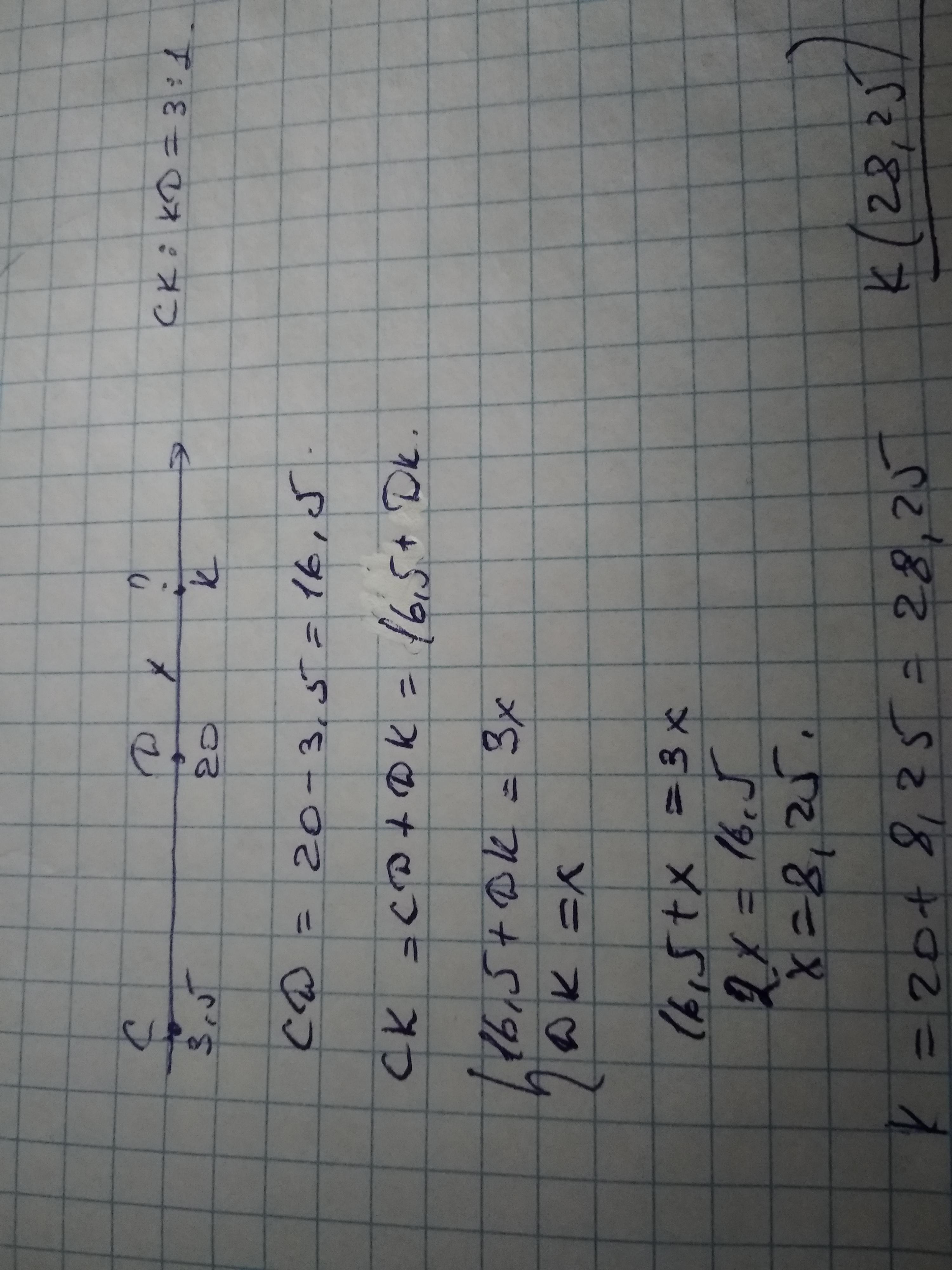
На координатной прямой отмечены точки C(3,5) и D(23).
Найди координату точки K, которая находится справа от точки D, если известно, что CK:KD=3:1.
Ответы
Ответ дал:
1
Ответ:
Пошаговое объяснение:
Приложения:

Вас заинтересует
2 года назад
2 года назад
8 лет назад
9 лет назад