• Предмет: Математика
  • Автор: kukuruzka12
  • Вопрос задан 3 года назад

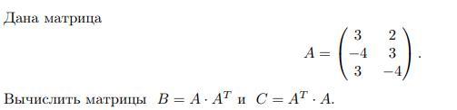
помогите с высшей математикой

Приложения:

Ответы

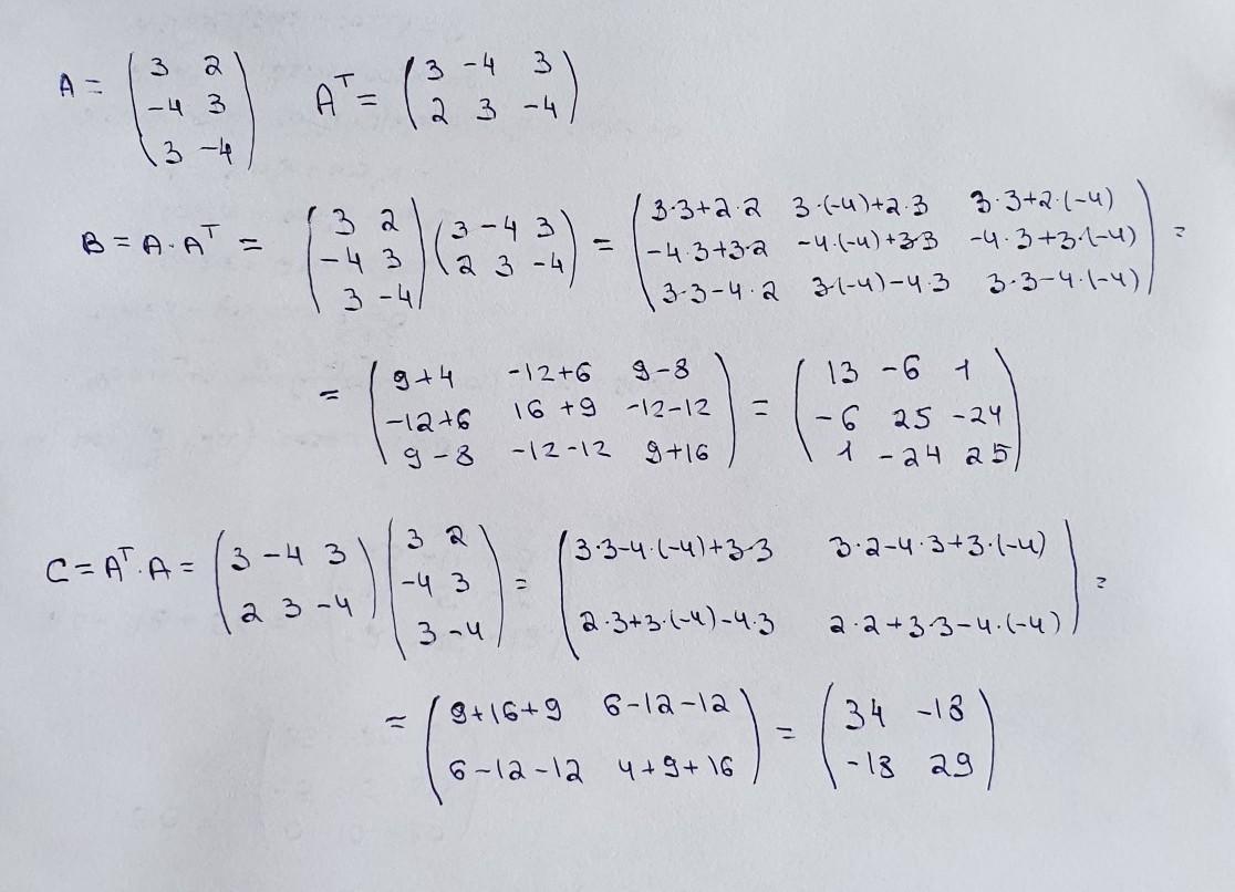
Ответ дал: Miroslava227
1

Ответ:

решение на фотографии.

Приложения:
Вас заинтересует