• Предмет: Математика
  • Автор: Аноним
  • Вопрос задан 3 года назад

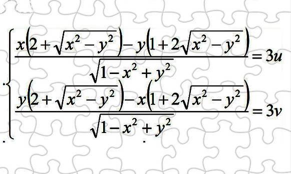
сложное уравнение ктосможетрешить

Приложения:

maloytoptop: сочувствую
maloytoptop: его не понятно даже как решать
Аноним: это точно 1-4 классы?
medvedevadiana698: Это степени, а степени начинают учить в 6 классе!!! 1-4 такого не может быть !!!!
Pon4ik99999: Это из 6класса они 1-4
satariosonon: в 6 класі такого немає
satariosonon: я в 6 класі
satariosonon: і такого у нас немає

Ответы

Ответ дал: zsavurhanova
0

Ответ:

ответ будет √8⁵=√5⁸

хехпххпхпхпхпэкээк

Вас заинтересует