• Предмет: Математика
  • Автор: karinapinaeva19
  • Вопрос задан 3 года назад

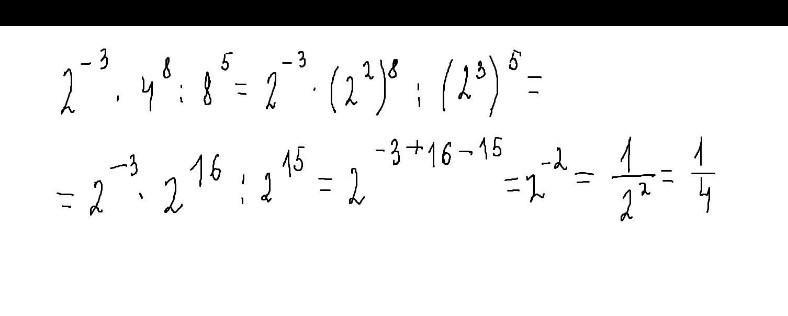
Обчислень значення виразу 2 в мінус 3 степені × 4⁸ ÷ 8⁵

Ответы

Ответ дал: pavlo6bond
0

Пошаговое объяснение:

прошу готово. удачи))))))))

Приложения:
Вас заинтересует