• Предмет: Математика
  • Автор: henexplaylol
  • Вопрос задан 3 года назад

помогите решить уравнение

Приложения:

Ответы

Ответ дал: TheDeformaZz
1

Ответ:

y = 1

Пошаговое объяснение:

====================

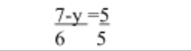
(7 - y)/6 = 5/5

Можем сократить правую часть, получим

(7 - y)/6 = 1

7 - y = 1 * 6

7 - y = 6

-y = 6 - 7

-y = -1

y = 1

====================

Вас заинтересует