Ответы
Ответ дал:
1
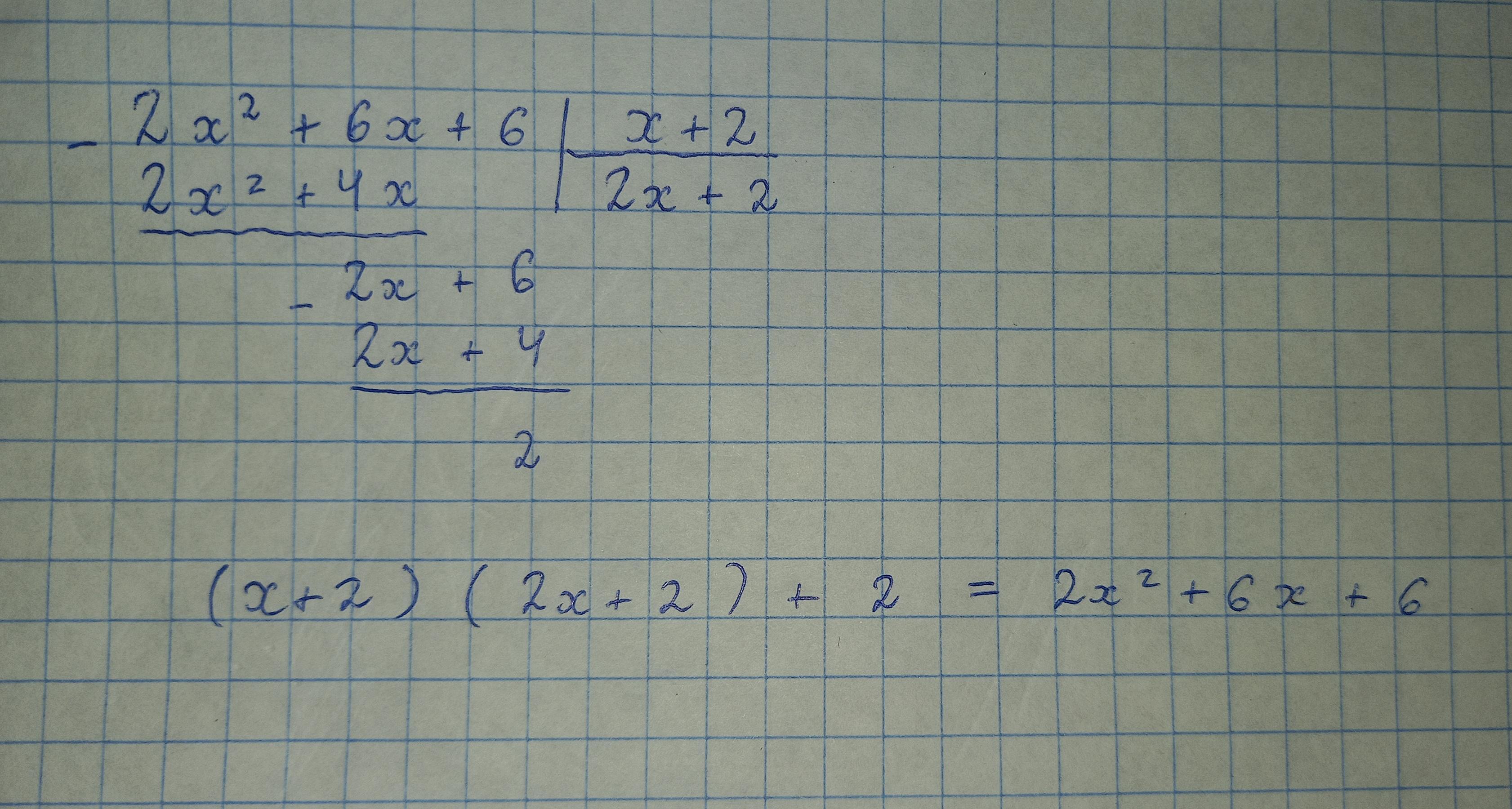
2х^2+6х+6 |__х+2
2х^2+4х 2х +2
----------------
2х+6
2х+4
-----------
2( ост)
2х^2+4х 2х +2
----------------
2х+6
2х+4
-----------
2( ост)
Ответ дал:
0
Решение на файле ниже.
Приложения:

Вас заинтересует
2 года назад
2 года назад
2 года назад
8 лет назад
8 лет назад
9 лет назад