Помогите, пожалцйста, буду очень благодарна. Ответ не по теме - жалоба на аккаунт
Дам 50 баллов
Приложения:

Ответы
Ответ дал:
2
Ответ:
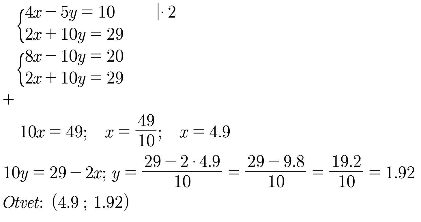
Друге рівняння домножаємо на (-2) та додаємо до першого. При скороченні отримаємо значення у=48/25. Підставимо в друге рівняння системи та знайдемо що х=4,9. Відповідь: (4,9; 1,96)
Объяснение:
Приложения:

mymail11:
спасибо!
Ответ дал:
1
Ответ:
Объяснение:
.............................
Приложения:

Вас заинтересует
2 года назад
2 года назад
2 года назад
8 лет назад
8 лет назад