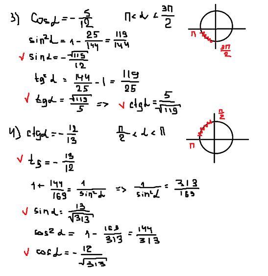
ПОЖАЛУЙСТА ПОМОГИТЕ ООООЧЕНЬ СРОЧНО!!!! НАЙДИТЕ ЗНАЧЕНИЕ ВСЕХ ОСТАЛЬНЫХ ТРИГ. ФУНКЦИИ, ЗНАЯ ЗНАЧЕНИЕ ОДНОЙ ИЗ НИХ, ЕСЛИ: ЗАДАНИЕ 3 и 4.
Приложения:

Ответы
Ответ дал:
0
Ответ:
Пошаговое объяснение:
Приложения:

Вас заинтересует
2 года назад
7 лет назад
7 лет назад
9 лет назад