Ответы
Ответ дал:
0
Пошаговое объяснение:
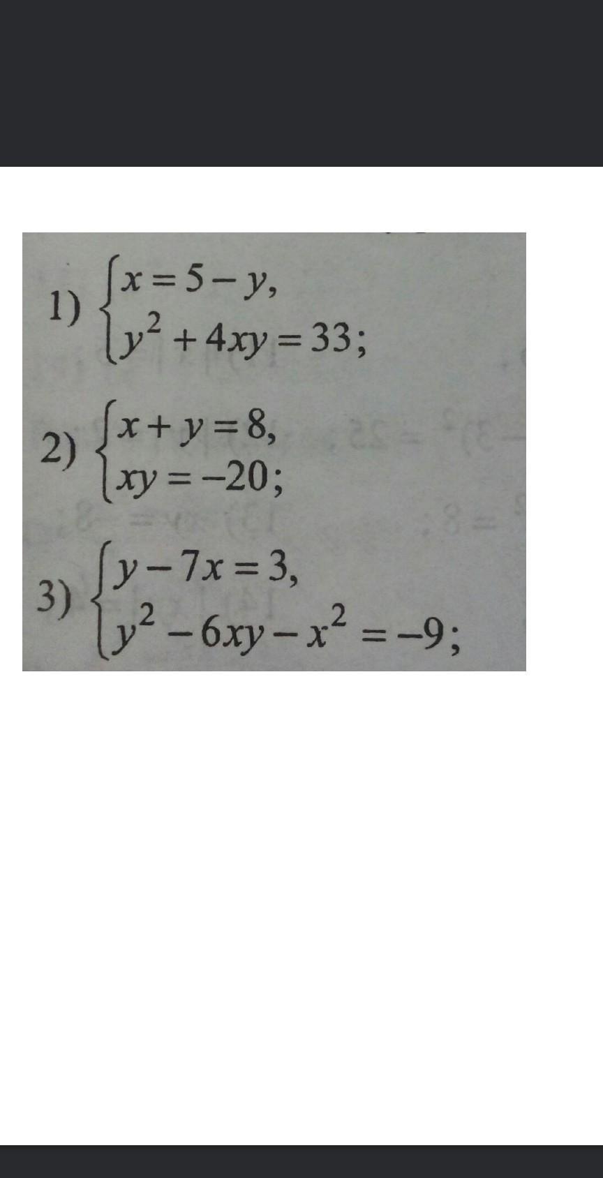
1){х=5-у
{у²+4ху=33
{х=5-у
{у²+4у(5-у)=33
{х=5-у
{у²+20у-4у²=33
{х=5-у
{-3у²+20у-33=0
-3у²+20у-33=0
D=400-396=4
√D=2
y1=(-20-2)/-6=11/3=3 2/3
y2=(-20+2)/-6=18/6=3
x1=5-3 2/3
x1=1 1/3
x2=5-3
x2=2
2){х+у=8
{xу=-20
{x=8-y
{y(8-y)=-20
{x=8-y
{8y-y²=-20
y²-8y-20=0
{y1y2=-20
{y1+y2=8
{y1=10
{y2=-2
x1=8-8
x1=0
x2=8+2
x2=10
3){у-7х=3
{у²-6ху-х²=-9
{y=3+7x
{(3+7x)²-6x(3+7x)-x²=-9
{y=3+7x
{9+42x+49x²-18x-42x²-x²=-9
{y=3+7x
{6x²+24x+18=0
6x²+24x+18=0|÷6
x²+4x+3=0
{x1x2=3
{x1+x2=-4
{x1=-3
{x2=-1
y1=3-21
y1=-18
y2=3-7
y2=-4
Ответ дал:
0
Пошаговое объяснение:
Ответ на фото
_______________
Приложения:

Вас заинтересует
2 года назад
2 года назад
2 года назад
8 лет назад
8 лет назад