Ответы
Ответ дал:
1
Ответ:
Пошаговое объяснение:
Приложения:

Аноним:
это правильно?
Ответ дал:
1
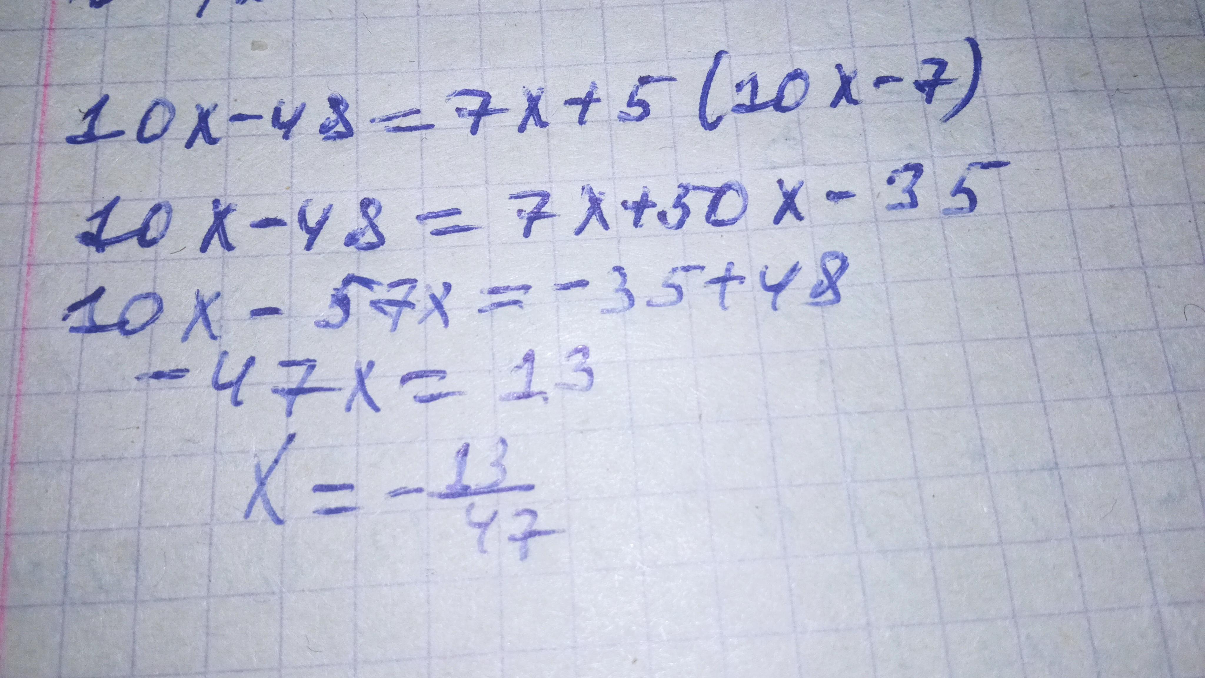
10х-48=7х+5(10х-7)
10х-7х-50х=-35+48
-47х=13 |:(-47)
х=-4,272727...
Вас заинтересует
2 года назад
2 года назад
2 года назад
8 лет назад
8 лет назад
9 лет назад