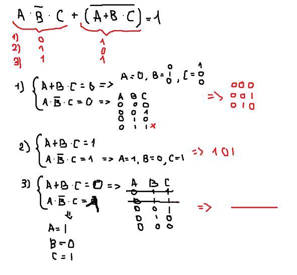
Составив схему логических элементов, найдите, при каких значениях A, B, C выражение A ^ ¬ B ^ C ∨ ¬ (A ∨ B ^ C) принимает значение ПРАВДА (1). Формат ответа: 000 (ABC). Если существует несколько вариантов, их нужно указать через запятую. Если таких вариантов значений нет, то нужно указать -. Пример ответа: 000, 001, 101
Ответы
Ответ дал:
1
Ответ: прости, брат, но только так. поясни, как должны выглядеть схемы
Объяснение:
Приложения:

HoneyJonny:
блен, ошибка в последнем, ща исправлю
Вас заинтересует
2 года назад
2 года назад
2 года назад
8 лет назад
9 лет назад