• Предмет: Алгебра
  • Автор: Mitorii
  • Вопрос задан 3 года назад

Решите уравнение пожалуйста​

Приложения:

Ответы

Ответ дал: TheDeformaZz
1

Ответ:

4/81b⁶ - 1,69a²²

Объяснение:

=======================================

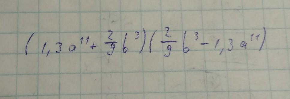
(1,3a¹¹ + 2/9b³)(2/9b³ - 1,3a¹¹)

поменяем в первой скобке слагаемые местами

(2/9b³ + 1,3a¹¹)(2,9b³ - 1,3a¹¹)

по ФСУ разность квадратов

(2/9b³ + 1,3a¹¹)(2,9b³ - 1,3a¹¹) = (2/9b³)² - (1,3a¹¹)² = 4/81b⁶ - 1,69a²²

=======================================

Вас заинтересует